SOLUTION: what is the x intercepts of a parabola with a vertex of (-1,-17) and a y intercept of (0,-13?
Algebra
->
Quadratic-relations-and-conic-sections
-> SOLUTION: what is the x intercepts of a parabola with a vertex of (-1,-17) and a y intercept of (0,-13?
Log On
Algebra: Conic sections - ellipse, parabola, hyperbola
Section
Solvers
Solvers
Lessons
Lessons
Answers archive
Answers
Click here to see ALL problems on Quadratic-relations-and-conic-sections
Question 973724
:
what is the x intercepts of a parabola with a vertex of (-1,-17) and a y intercept of (0,-13?
Answer by
josgarithmetic(39617)
(
Show Source
):
You can
put this solution on YOUR website!
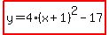
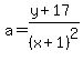
Start from standard form:
The given point...
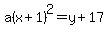
EQUATION OF THIS PARABOLA
Solve for x when y is zero, and you have the x-intercepts.