SOLUTION: 1.write an equation in standard form for the ellipse shown with center (0,0) , focus (0,6) co-vertex(0,-10). 2. The area of a rectangle is equal to x^2 +7x +10 square units. if

Algebra ->  Quadratic-relations-and-conic-sections -> SOLUTION: 1.write an equation in standard form for the ellipse shown with center (0,0) , focus (0,6) co-vertex(0,-10). 2. The area of a rectangle is equal to x^2 +7x +10 square units. if       Log On


   



Question 972473: 1.write an equation in standard form for the ellipse shown with center (0,0) , focus (0,6) co-vertex(0,-10).
2. The area of a rectangle is equal to x^2 +7x +10 square units. if the length of the rectangle is equal to x+5 units, what expression represents its width?


Answer by lwsshak3(11628) About Me  (Show Source):
You can put this solution on YOUR website!
1.write an equation in standard form for the ellipse shown with center (0,0) , focus (0,6) co-vertex(0,-10).Given ellipse has a vertical major axis. (Note: focus and co-vertices cannot both be on the vertical major axis. I will assume you meant the co-vertex coordinates given are instead those of the vertex.)
Its standard form of equation: %28x-h%29%5E2%2Fa%5E2%2B%28y-k%29%5E2%2Fb%5E2=1, a>b, (h,k)=coordinates of center
center:(0,0)
a=10
a^2=100
c=6
c^2=36
c^2=a^2-b^2
b^2=a^2-c^2=100-36=64
equation: x%5E2%2F100%2By%5E2%2F64=1
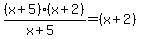
2. The area of a rectangle is equal to x^2 +7x +10 square units. if the length of the rectangle is equal to x+5 units, what expression represents its width?
%28x%5E2%2B7x%2B10%29%2F%28x%2B5%29
%28x%2B5%29%28x%2B2%29%2F%28x%2B5%29=%28x%2B2%29
What expression represents its width? (x+2)