SOLUTION: center at (4,6); focus at (9,6); contains the point (4,7) Find an equation for the ellipse

Algebra ->  Quadratic-relations-and-conic-sections -> SOLUTION: center at (4,6); focus at (9,6); contains the point (4,7) Find an equation for the ellipse      Log On


   



Question 972212: center at (4,6); focus at (9,6); contains the point (4,7)
Find an equation for the ellipse

Found 2 solutions by josgarithmetic, Edwin McCravy:
Answer by josgarithmetic(39620) About Me  (Show Source):
You can put this solution on YOUR website!
b%5E2%2Bc%5E2=a%5E2, relationship among constants for an ellipse.

Your description indicates a goes under the x expression, and because distance from center to focus is 9-4=5, that
-----rendering is not working. That system is this as pure text:

(x-4)^2/a^2+(y-6)^2/b^2=1, b^2+5^2=a^2

That is solvable for a^2 and b^2.

Answer by Edwin McCravy(20060) About Me  (Show Source):
You can put this solution on YOUR website!
center at (4,6); focus at (9,6); contains the point (4,7)
Find an equation for the ellipse
If it's an ellipse that looks like this drawing%2820%2C10%2C-2%2C2%2C-1%2C1%2Carc%280%2C0%2C-3.9%2C1.9%29+%29, its equation is

%28x-h%29%5E2%2Fa%5E2%2B%28y-k%29%5E2%2Fb%5E2=1

If it's an ellipse that looks like this drawing%2810%2C20%2C-1%2C1%2C-2%2C2%2Carc%280%2C0%2C1.9%2C-3.9%29+%29, its equation is

%28x-h%29%5E2%2Fb%5E2%2B%28y-k%29%5E2%2Fa%5E2=1

We plot the three given points, and connect the center to the given
focus in red, for that is the value of "c". Since the given point 
(4,7) on the ellipse has the same x-coordinate as the center, that
point has to be the covertex, so we connect the center to it also,
in green, for that is the value of "b", the semi-minor axis. 



We see that the ellipse has the equation

%28x-h%29%5E2%2Fa%5E2%2B%28y-k%29%5E2%2Fb%5E2=1

And that the center (h,k) = (4,6), and c = 5 because the red line is
5 units long.  The other focus has to be 5 units to the left of the 
center, which is (-1,6).  We can calculate the value of "a", by using 
the relationship between a,b, and c for ellipses: 

c%5E2=a%5E2-b%5E2
5%5E2=a%5E2-1%5E2
 25=a%5E2-1 
 26=a%5E2
sqrt%2826%29=a

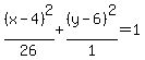
That's about 5.1. So it's equation is

%28x-4%29%5E2%2F26%2B%28y-6%29%5E2%2F1=1

we sketch in the ellipse:



Edwin