SOLUTION: Find the equation of the parabola with the given conditions: > Horizontal axis, vertex on y-axis and passing through (2,4) and (8,-2)

Algebra ->  Quadratic-relations-and-conic-sections -> SOLUTION: Find the equation of the parabola with the given conditions: > Horizontal axis, vertex on y-axis and passing through (2,4) and (8,-2)      Log On


   



Question 968946: Find the equation of the parabola with the given conditions:
> Horizontal axis, vertex on y-axis and passing through (2,4) and (8,-2)

Answer by josgarithmetic(39625) About Me  (Show Source):
You can put this solution on YOUR website!
Some form of x=a%28y-k%29%5E2, because you are not sure where along the y-axis is the intercept.

Your two given points will allow to find a and k.


-----
The expected format equation, x=a%28y-k%29%5E2 and the two points to be on the graph:

system%282=a%284-k%29%5E2%2C8=a%28-2-k%29%5E2%29, so this system is solvable for a and k.
Use any whatever good algebra skills you have.

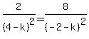
system%282%2F%284-k%29%5E2=a%2C8%2F%28-2-k%29%5E2=a%29

2%2F%284-k%29%5E2=8%2F%28-2-k%29%5E2

their reciprocals are therefore also equal.
%284-k%29%5E2%2F2=%28-2-k%29%5E2%2F8

8%284-k%29%5E2=2%28-2-k%29%5E2

4%284-k%29%5E2=%28-1%29%5E2%282%2Bk%29%5E2

4%284-k%29%5E2=%282%2Bk%29%5E2

4%2816-8k%2Bk%5E2%29=4%2B4k%2Bk%5E2

64-32k%2B4k%5E2=4%2B4k%2Bk%5E2

3k%5E2-36k%2B60=0

k%5E2-12k%2B20=0
%28k-2%29%28k-10%29=0

The possibility of two different values for k, and each of them will have a corresponding value for a.

highlight%28k=2%29 OR highlight%28k=10%29.

You continue on to find values of "a".