|
Question 968175: Good Morning, Can anyone show me the steps for this, please?
Consider the following equation and determine if it is a parabola, an ellipse, or a hyperbola and sketch it's graph:
4y^2+6x-2y+3x^2-15=2y^2+4x^2
Thank you in advance for your help.
Answer by Edwin McCravy(20060) (Show Source):
You can put this solution on YOUR website! Consider the following equation and determine if it is a parabola, an ellipse, or a hyperbola and sketch it's graph:
4y^2+6x-2y+3x^2-15=2y^2+4x^2
Subtract the right side from both sides to get 0 on the right:
We can tell this is the graph of a hyperbola because the x² and
y² terms have opposite signs when all non-zero terms are one
side and all like terms combined.
Get the y terms together and the x terms together, and add 15
to both sides to get the contant term off the left side:
Factor the coefficient of the y² term, which is 2, out of the
first two terms on the left, skipping a space at the end of the
parentheses.
Factor the coefficient of the x² term, which is -1, out of the
last two terms on the left, skipping a space at the end of the
parentheses.
Complete the square inside each parentheses:
In your head or on scratch paper,
1. Multiply the coefficient of y, which is -1, by 1/2, getting -1/2.
2. Square -1/2, getting (-1/2)² = +1/4
3. Add +1/4 in the space in the first parentheses, which amounts to
adding 2 times +1/4 or +1/2 to the left side. So add +1/2 to the right
side.
1. Multiply the coefficient of x, which is -6, by 1/2, getting -3.
2. Square -3, getting (-3)² = +9
3. Add +9 in the space in the first parentheses, which amounts to
adding -1 times +9 or -9 to the left side. So add -9 to the
right side.
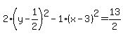
Factor each trinomial:
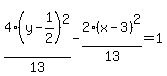
Combine the terms on the right
Clear the fraction on the right by multiplying
through by 2:
Get 1 on the right by dividing through by 13:
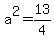
Divide numerator and denominator by the coefficients of
the squares of the binomials:
   
   
This is in standard form:
which is the equation of a hyperbola which
opens like this:
So , , , , ,
The center is (h,k) = , the big green dot below.
We draw the defining rectangle with (h,k) as its center, its vertical
dimension is 2a = , and its horizontal dimension is 2b = .
We extend the diagonals of the defining rectangle, since they are the
asymptotes of the hyperbola. Then we sketch in the hyperbola:
Edwin
|
|
|
| |