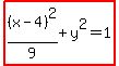
SOLUTION: CONVERT INTO THE STANDARD FORM THE EQUATION: [9y^2 = 8x - 7 - x^2]
Algebra
->
Quadratic-relations-and-conic-sections
-> SOLUTION: CONVERT INTO THE STANDARD FORM THE EQUATION: [9y^2 = 8x - 7 - x^2]
Log On
Algebra: Conic sections - ellipse, parabola, hyperbola
Section
Solvers
Solvers
Lessons
Lessons
Answers archive
Answers
Click here to see ALL problems on Quadratic-relations-and-conic-sections
Question 954742
:
CONVERT INTO THE STANDARD FORM THE EQUATION:
[9y^2 = 8x - 7 - x^2]
Answer by
josgarithmetic(39620)
(
Show Source
):
You can
put this solution on YOUR website!
Understanding Completing The Square is necessary.