SOLUTION: I need help writting the equation of an ellipse. I am given the center (-3,1) the verticies (-1,1) and (-5,1) and the coverts at (-3,0)/(-3,2)

Algebra ->  Quadratic-relations-and-conic-sections -> SOLUTION: I need help writting the equation of an ellipse. I am given the center (-3,1) the verticies (-1,1) and (-5,1) and the coverts at (-3,0)/(-3,2)      Log On


   



Question 939245: I need help writting the equation of an ellipse. I am given the center (-3,1) the verticies (-1,1) and (-5,1) and the coverts at (-3,0)/(-3,2)
Answer by lwsshak3(11628) About Me  (Show Source):
You can put this solution on YOUR website!
I need help writting the equation of an ellipse. I am given the center (-3,1) the verticies (-1,1) and (-5,1) and the coverts at (-3,0)/(-3,2)
***
Ellipse has a horizontal major axis
Its standard form of equation: %28x-h%29%5E2%2Fa%5E2%2B%28y-k%29%5E2%2Fb%5E2=1, a>b, (h,k)=coordinates of center
..
center:(-3,1) given
length of horizontal major axis=4(-1 to -5)=2a
a=2
a^2=4
length of co-vertices=2b
b=1
b^2=1
..
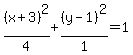
equation: %28x%2B3%29%5E2%2F4%2B%28y-1%29%5E2%2F1=1