SOLUTION: Please help me with this problem! On a map of an amusement park, a ride has a track in the shape of an ellipse. The ellipse has vertices at (5,1) and (-5,1) and foci at (3,1) and (

Algebra ->  Quadratic-relations-and-conic-sections -> SOLUTION: Please help me with this problem! On a map of an amusement park, a ride has a track in the shape of an ellipse. The ellipse has vertices at (5,1) and (-5,1) and foci at (3,1) and (      Log On


   



Question 932627: Please help me with this problem! On a map of an amusement park, a ride has a track in the shape of an ellipse. The ellipse has vertices at (5,1) and (-5,1) and foci at (3,1) and (-3,1). Find the equation that can be used to describe the path of the ride.
Answer by ewatrrr(24785) About Me  (Show Source):
You can put this solution on YOUR website!
Standard Form of an Equation of an Ellipse is %28x-h%29%5E2%2Fa%5E2+%2B+%28y-k%29%5E2%2Fb%5E2+=+1+
where Pt(h,k) is the center. (a variable positioned to correspond with major axis)
a and b are the respective vertices distances from center.
The foci distances from center: c = ±sqrt%28a%5E2-b%5E2%29 where a > b
.......
vertices at (5,1) and (-5,1)
%28x%29%5E2%2F5%5E2+%2B+%28y-1%29%5E2%2Fb%5E2+=+1+
2 = ±sqrt%2825-b%5E2%29
4 = 25 - b^2
b^2 = 21
.......
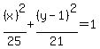
%28x%29%5E2%2F25+%2B+%28y-1%29%5E2%2F21+=+1+
.......