SOLUTION: find area between two parabola 4y^2=25x and 5x^2=16y

Algebra ->  Quadratic-relations-and-conic-sections -> SOLUTION: find area between two parabola 4y^2=25x and 5x^2=16y      Log On


   



Question 931519: find area between two parabola 4y^2=25x and 5x^2=16y
Answer by Fombitz(32388) About Me  (Show Source):
You can put this solution on YOUR website!
First find the intersection points.

Looks like (0,0) and (4,5) are the two intersection points.
4y%5B1%5D%5E2=25x
y%5B1%5D%5E2=%2825%2F4%29x
y%5B1%5D=%285%2F2%29sqrt%28x%29
and
16y%5B2%5D=5x%5E2
y%5B2%5D=%285%2F16%29x%5E2
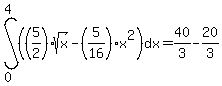
So now integrate from x=0 to x=4,
A=int%28%28y%5B1%5D-y%5B2%5D%29%2Cdx%2C0%2C4%29




int%28%28%285%2F2%29sqrt%28x%29-%285%2F16%29x%5E2%29%2Cdx%2C0%2C4%29=40%2F3-20%2F3
int%28%28%285%2F2%29sqrt%28x%29-%285%2F16%29x%5E2%29%2Cdx%2C0%2C4%29=20%2F3