Please help me show a step by step solution to
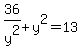
x^2+y^2=13
xy=6
------ eq (i)
______
---------- eq (ii)
-------- Substituting
for x in eq (i)

-------- Multiplying by LCD, 


(y - 2)(y + 2)(y -3)(y + 3) = 0
Thus: y = 2, or y = - 2, or y = 3, or y = - 3
If y = 2
, or 3
When
If y = - 2
x =
, or - 3
When
If y = 3
x =
, or 2
When
If y = - 3
x =
, or - 2
When 
You can do the check!!
===================
Send comments, “thank-yous,” and inquiries to “D” at MathMadEzy@aol.com.
Further help is available, online or in-person, for a fee, obviously.
For FREE info and answers to questions about the ASVAB exam, the NYS 3 – 8 city/state wide exams,GENERAL
MATH and HOMEWORK QUESTIONS, or MATH QUESTIONS related to the Regents Integrated Algebra,
Regents Geometry, Regents Algebra 2/Trigonometry, SHSAT, COOP/HSPT/TACHS, PSAT, SAT, ACT, SSAT/ISEE,
GRE, CLEP, and the TASC/GED, you can visit: http://asvabstudyzone.freeforums.net/.