SOLUTION: find the x intercept of a parabola with a vertex of -1,-108 and a y intercept of 0,-105 ( answer should be written in (x1,y1) (x2,y2)
Algebra
->
Quadratic-relations-and-conic-sections
-> SOLUTION: find the x intercept of a parabola with a vertex of -1,-108 and a y intercept of 0,-105 ( answer should be written in (x1,y1) (x2,y2)
Log On
Algebra: Conic sections - ellipse, parabola, hyperbola
Section
Solvers
Solvers
Lessons
Lessons
Answers archive
Answers
Click here to see ALL problems on Quadratic-relations-and-conic-sections
Question 889758
:
find the x intercept of a parabola with a vertex of -1,-108 and a y intercept of 0,-105 ( answer should be written in (x1,y1) (x2,y2)
Answer by
Fombitz(32388)
(
Show Source
):
You can
put this solution on YOUR website!
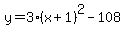
Write in vertex form.
When
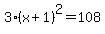
.
.
.
and
.
.
.
(-7,0),(5,0)