SOLUTION: Find an equation of a hyperbola having foci at (5-√13,-1) and (5+√13,-1) and assymptotes at y=2/3x-13/3 and y=-2/3x+7/3

Algebra ->  Quadratic-relations-and-conic-sections -> SOLUTION: Find an equation of a hyperbola having foci at (5-√13,-1) and (5+√13,-1) and assymptotes at y=2/3x-13/3 and y=-2/3x+7/3      Log On


   



Question 888569: Find an equation of a hyperbola having foci at (5-√13,-1) and (5+√13,-1) and assymptotes at y=2/3x-13/3 and y=-2/3x+7/3
Answer by lwsshak3(11628) About Me  (Show Source):
You can put this solution on YOUR website!
Find an equation of a hyperbola having foci at (5-√13,-1) and (5+√13,-1) and asymptotes at y=2/3x-13/3 and y=-2/3x+7/3
***
hyperbola has a horizontal transverse axis.
Its standard form of equation: %28x-h%29%5E2%2Fa%5E2-%28y-k%29%5E2%2Fb%5E2=1, (h,k)=coordinates of center
slopes of asymptotes=±2/3=b/a
b=±2a/3
b^2=4a^2/9
center: (5,-1)
c=√13
c^2=13=a^2+b^2
a^2+4a^2/9=13
9a^2+4a^2=117
13a^2=117
a^2=9
b^2=4a^2/9=36/9=4
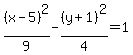
equation: %28x-5%29%5E2%2F9-%28y%2B1%29%5E2%2F4=1