Question 888567: find an equation of an ellipse that has center (4,-1), a minor axis of length 4, and a vertex at (8,-1)
Answer by lwsshak3(11628) (Show Source):
You can put this solution on YOUR website! find an equation of an ellipse that has center (4,-1), a minor axis of length 4, and a vertex at (8,-1)
***
given ellipse has a horizontal major axis
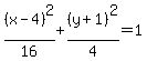
Its standard form of equation: , a>b, (h,k)=coordinates of center
center:(4,-1)
a=4 (distance from center to vertex)
a^2=16
length of minor axis=4=2b
b=2
b^2=4
,
|
|
|