Question 884823: Convert the equation to the standard form for a hyperbola by completing the square on x and y.
y2 - 25x2 + 4y + 50x - 46 = 0 Answer by KMST(5328) (Show Source):
You can put this solution on YOUR website!
Recognizing that is part of =(y+2)^2}}} ,
we add to both sides of the equal sign to complete one square on the left side:
Replacing for (on the left of the equal sign),
taking out as a common factor (also on the left),
and just performing indicated operations on the right side:
Recognizing that is part of ,
we add to both sides of the equation to complete another square:
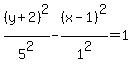
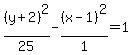
Dividing both sides by we get: