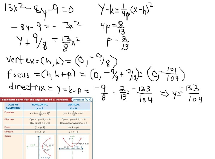
SOLUTION: Find the vertex, the focus, and the directrix. Then draw the graph. 13x^2-8y-9=0 I am stuck in this problem and have tried different things but could not get the right answer.

Algebra ->  Quadratic-relations-and-conic-sections -> SOLUTION: Find the vertex, the focus, and the directrix. Then draw the graph. 13x^2-8y-9=0 I am stuck in this problem and have tried different things but could not get the right answer.       Log On


   



Question 876187: Find the vertex, the focus, and the directrix. Then draw the graph.
13x^2-8y-9=0
I am stuck in this problem and have tried different things but could not get the right answer. At first I though it was complete the square but I had no luck doing that. I also tried moving some of things to the other side of zero but I also did not find anything useful

Answer by fcabanski(1391) About Me  (Show Source):