SOLUTION: write the equation of each circle center (-3,7) and radius is 12 please help
Algebra
->
Quadratic-relations-and-conic-sections
-> SOLUTION: write the equation of each circle center (-3,7) and radius is 12 please help
Log On
Algebra: Conic sections - ellipse, parabola, hyperbola
Section
Solvers
Solvers
Lessons
Lessons
Answers archive
Answers
Click here to see ALL problems on Quadratic-relations-and-conic-sections
Question 869725
:
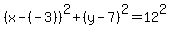
write the equation of each circle
center (-3,7) and radius is 12
please help
Answer by
jim_thompson5910(35256)
(
Show Source
):
You can
put this solution on YOUR website!
Circles are of the form
with center (h,k) and radius r.
We're given "center (-3,7) and radius is 12", so (h,k) = (-3,7) ----> h = -3, k = 7 and r = 12
Plug these values in:
and that's your final answer