SOLUTION: X squared +4y squared-4x+8y=0 Write the conic section in standard form of an ellipse. Find the center and the foci
Algebra
->
Quadratic-relations-and-conic-sections
-> SOLUTION: X squared +4y squared-4x+8y=0 Write the conic section in standard form of an ellipse. Find the center and the foci
Log On
Algebra: Conic sections - ellipse, parabola, hyperbola
Section
Solvers
Solvers
Lessons
Lessons
Answers archive
Answers
Click here to see ALL problems on Quadratic-relations-and-conic-sections
Question 868711
:
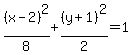
X squared +4y squared-4x+8y=0
Write the conic section in standard form of an ellipse. Find the center and the foci
Answer by
ewatrrr(24785)
(
Show Source
):
You can
put this solution on YOUR website!
Hi
x^2 -4x + 4y^2 + 8y
C(2,-1)
sqrt(8-2) = √6
Foci are: (2-√6, -1) and (2+√6, -1)