SOLUTION: Find the equation of the ellipse with foci (2,-4) and (2,8) and with a vertex at (2,10) . Hint:A vertex is located at one end of the major axis

Algebra ->  Quadratic-relations-and-conic-sections -> SOLUTION: Find the equation of the ellipse with foci (2,-4) and (2,8) and with a vertex at (2,10) . Hint:A vertex is located at one end of the major axis      Log On


   



Question 867576: Find the equation of the ellipse with foci (2,-4) and (2,8) and with a vertex at (2,10) . Hint:A vertex is located at one end of the major axis
Answer by lwsshak3(11628) About Me  (Show Source):
You can put this solution on YOUR website!
Find the equation of the ellipse with foci (2,-4) and (2,8) and with a vertex at (2,10) .
***
Given data shows ellipse has a vertical major axis. (y-coordinates of foci change but x-coordinates do not)
Its standard form of equation: %28x-h%29%5E2%2Fb%5E2%2B%28y-k%29%5E2%2Fa%5E2=1, a>b, (h,k)=coordinates of center
For given ellipse:
y-coordinate of center=2(midpoint between -4 and 8)
x-coordinate of center=2
center:(2,2)
a=8 (distance from center to vertex on the vertical major axis)
a^2=64
c=6 (distance from center to foci on the vertical major axis)
c^2=36
c^2=a^2-b^2
b^2=a^2-c^2=64-36=28
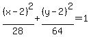
Equation: %28x-2%29%5E2%2F28%2B%28y-2%29%5E2%2F64=1