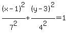
Question 865480: Find the equation of an ellipse with center (1,3), vertex at (8,3), and co-vertex at (1,-1)?
Find the equation of an ellipse with center (-2,-5), vertex at (-2,0), and focus at (-2,-2)?
Answer by ewatrrr(24785) (Show Source):
You can put this solution on YOUR website!
Hi
the equation of an ellipse with center (1,3), vertex at (8,3), and co-vertex at (1,-1)
major axis along y = 3

the equation of an ellipse with center (-2,-5), vertex at (-2,0), and focus at (-2,-2)
major axis along x = -2
sqrt(25 - 16) = 3
|
|
|