Question 860907: Find the center, the vertices, and the foci of the ellipse 9x^2+25y^2-18x+200y+184=0
Answer by lwsshak3(11628) (Show Source):
You can put this solution on YOUR website! Find the center, the vertices, and the foci of the ellipse
9x^2+25y^2-18x+200y+184=0
9x^2-18x+25y^2+200y=-184
complete the square:
9(x^2-2x+1)+25(y^2+8y+16)=-184+9+400
9(x-1)^2+25(y+4)^2=225

Ellipse has a horizontal major axis
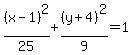
Its standard form of equation: 
For given ellipse:
center(1,-4)
a^2=25
a=√25=5
vertices: (1±a,-4)=(1±5,-4)=(-4,-4) and (6,-4)
b^2=9
b=3
c^2=a^2-b^2=25-9=16
c=4
foci: (1±c,-4)=(1±4,-4)=(-3,-4) and (5,-4)
|
|
|