SOLUTION: 1. Find a set of parametric equations for the line which passes through the points (-2, 1) and (7, 0). 2.Let x(t) = 1+ 2sin t and y(t) = −2 + 3cost be the para

Algebra ->  Quadratic-relations-and-conic-sections -> SOLUTION: 1. Find a set of parametric equations for the line which passes through the points (-2, 1) and (7, 0). 2.Let x(t) = 1+ 2sin t and y(t) = −2 + 3cost be the para      Log On


   



Question 857784: 1. Find a set of parametric equations for the line which passes through the points (-2,
1) and (7, 0).
2.Let x(t) = 1+ 2sin t
and y(t) = −2 + 3cost
be the parametric equations for some graph
a) Find a rectangular equation for this graph.
b) Sketch and label the graph.


Answer by Fombitz(32388) About Me  (Show Source):
You can put this solution on YOUR website!
1)x=-2%2Bat
t=0, x=-2
t=1,x=7
x%281%29=-2%2Ba=7
a=9
x=-2%2B9t
.
.
y=1%2Bbt
t=0,y=1
t=1,y=0
y%281%29=1%2Bb=0
b=-1
y=1-t
.
.
2)x%28t%29=1%2B2%2Asin%28t%29
x-1=2sin%28t%29
sin%28t%29=%28x-1%29%2F2
.
.
y%28t%29=-2%2B3cos%28t%29
y%2B2=3cos%28t%29
cos%28t%29=%28y%2B2%29%2F3
.
.
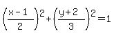
Remember that sin%28t%29%5E2%2Bcos%28t%29%5E2=1
%28%28x-1%29%2F2%29%5E2%2B%28%28y%2B2%29%2F3%29%5E2=1
.
.

.
.
.
It's an ellipse with a center of (1,-2) but for some reason the graph has a missing section.