SOLUTION: Write an equation of the conic section: Hyperbola with vertices (2,4) and (8,4) with length of conjugate axis (minor axis) being 4 root 10

Algebra ->  Quadratic-relations-and-conic-sections -> SOLUTION: Write an equation of the conic section: Hyperbola with vertices (2,4) and (8,4) with length of conjugate axis (minor axis) being 4 root 10       Log On


   



Question 854142: Write an equation of the conic section:
Hyperbola with vertices (2,4) and (8,4) with length of conjugate axis (minor axis) being 4 root 10

Answer by lwsshak3(11628) About Me  (Show Source):
You can put this solution on YOUR website!
Write an equation of the conic section:
Hyperbola with vertices (2,4) and (8,4) with length of conjugate axis (minor axis) being 4 root 10
***
Given hyperbola has a horizontal transverse axis.
Its standard form of equation: %28x-h%29%5E2%2Fa%5E2-%28y-k%29%5E2%2Fb%5E2=1, (h,k)=coordinates of center
y-coordinate of center=4
x-coordinate of center=5 (midpoint of 2 and 8)
center: (5,4)
a=3 (distance from center to vertices on transverse axis)
a^2=9
length of minor axis=4√10=2b
b=2√10
b^2=4*10=40
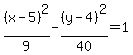
Equation: %28x-5%29%5E2%2F9-%28y-4%29%5E2%2F40=1