Question 848107: Which of these is the standard form equation for an ellipse with foci at (3, 0) and (-3, 0), and vertices at (4, 0) and (-4, 0)? Answer by ewatrrr(24785) (Show Source):
Hi
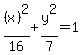
major axis: a = 4
(3,0)and (-3,0); and 6/2 = 3, foci distance from center b^2 = 7
Standard Form of an Equation of an Ellipse is
where Pt(h,k) is the center. (a variable positioned to correspond with major axis)
a and b are the respective vertices distances from center
and ±are the foci distances from center: a > b