SOLUTION: find the center and radius of the circle 3x^2+4y^2-6x+4y-4=0

Algebra ->  Quadratic-relations-and-conic-sections -> SOLUTION: find the center and radius of the circle 3x^2+4y^2-6x+4y-4=0      Log On


   



Question 83203: find the center and radius of the circle
3x^2+4y^2-6x+4y-4=0

Answer by jim_thompson5910(35256) About Me  (Show Source):
You can put this solution on YOUR website!
3x%5E2%2B4y%5E2-6x%2B4y-4=0

3x%5E2%2B4y%5E2-6x%2B4y=4 add 4 to both sides

%283x%5E2-6x%29%2B%284y%5E2%2B4y%29=4 Group like terms

3%28x%5E2-2x%29%2B4%28y%5E2%2By%29=4 Factor out the GCF

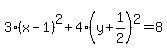
3%28x%5E2-2x%2B1%29%2B4%28y%5E2%2By%2B1%2F4%29=4%2B3%2B1 Complete the squares of each parenthesis (remember to add to both sides)

Since we completed the squares, we get

3%28x-1%29%5E2%2B4%28y%2B1%2F2%29%5E2=8

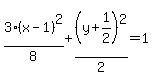
%283%28x-1%29%5E2%2B4%28y%2B1%2F2%29%5E2%29%2F8=8%2F8 Now divide both sides by 4 to get the equation into standard form %28x-h%29%5E2%2Fa%5E2%2B%28y-k%29%5E2%2Fb%5E2=1

3%28x-1%29%5E2%2F8%2B%28y%2B1%2F2%29%5E2%2F2=1

So the equation is actually an ellipse (check your problem again) where the radii are sqrt%288%2F3%29 and sqrt%282%29 and the center is (1,-1%2F2)