

You want it to look like this


which is a parabola with a horizontal axis of symmetry that
either opens left or right. We can't tell which yet. It
has a vertex of (h,k)


Get the y-terms on the left and everything else on the right


Divide every term by 4


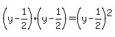
Complete the square on the left side:
1. To the side, multiply the coefficient of y, which is -1, by
,
getting
2. Square the result of 1.
3. Add the result of 2 to both sides of the equation:


Factor the left side:
Combine the numbers on the right


To show the 4p in the standard equation, perhaps your teacher
wants you to put a 1 factor on the right side:


and now it corresponds exactly to


The vertex is (h,k) = (1,
)
4p=1, so p=
, since p is positive it opens right.
Its focus is the point
unit right of its vertex,
at (1,
), and the latus rectum is 4p=1 unit long
through the focus. The directrix line is the vertical
line
unit left of the vertex. It has the
equation
. to 4p = 1 unit. So we draw the
vertex, focus, directrix and latus rectum and we have this:
Then we sketch in the parabola:
Yes, I know you didn't need to graph it but you'll have to later.
Edwin