SOLUTION: Classify each conic section, write it's equation in standard form, and sketch its graph. -9x^2+16y^2-18x-32y-137=0

Algebra ->  Quadratic-relations-and-conic-sections -> SOLUTION: Classify each conic section, write it's equation in standard form, and sketch its graph. -9x^2+16y^2-18x-32y-137=0      Log On


   



Question 822888: Classify each conic section, write it's equation in standard form, and sketch its graph.
-9x^2+16y^2-18x-32y-137=0

Answer by lwsshak3(11628) About Me  (Show Source):
You can put this solution on YOUR website!
Classify each conic section, write it's equation in standard form, and sketch its graph.
-9x^2+16y^2-18x-32y-137=0
rearrange terms:
16y^2-32y-9x^2-18x=137
complete the square:
16(y^2-2y+1)-9(x^2+2x+1)=137+16-9
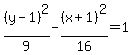
16(y-1)^2-9(x+1)^2=144
%28y-1%29%5E2%2F9-%28x%2B1%29%5E2%2F16=1
This is an equation of a hyperbola with vertical transverse axis.
Its standard form:%28y-k%29%5E2%2Fa%5E2-%28x-h%29%5E2%2Fb%5E2=1, (h,k)=(x,y) coordinates of center
see graph below:
y=±(9+(9/16)*(x+1)^2)^.5+1