SOLUTION: How do you put this conic section into standard form? I know it's a hyperbola. 6y^2+24y-x^2-36=0

Algebra ->  Quadratic-relations-and-conic-sections -> SOLUTION: How do you put this conic section into standard form? I know it's a hyperbola. 6y^2+24y-x^2-36=0      Log On


   



Question 822332: How do you put this conic section into standard form? I know it's a hyperbola.
6y^2+24y-x^2-36=0

Answer by lwsshak3(11628) About Me  (Show Source):
You can put this solution on YOUR website!
How do you put this conic section into standard form? I know it's a hyperbola.
6y^2+24y-x^2-36=0
complete the square:
6(y^2+4y+4)-x^2-36=0
6(y+2)^2-x^2=36+24=60
%28y%2B2%29%5E2%2F10-x%5E2%2F60=1
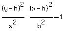
This is an equation of a hyperbola with vertical transverse axis and center at (0,-2).
Its standard form: %28y-h%29%5E2%2Fa%5E2-%28x-h%29%5E2%2Fb%5E2=1, (h,k)=(x,y) coordinates of center.