|
Question 822152: What is the standard form of 2y^2+4y=3x^2-6x+9, and what are the foci, vertices, center, and asymptotes?
Answer by lwsshak3(11628) (Show Source):
You can put this solution on YOUR website! What is the standard form of 2y^2+4y=3x^2-6x+9, and what are the foci, vertices, center, and asymptotes?
***
2y^2+4y=3x^2-6x+9
rearrange terms:
3x^2-6x-2y^2-4y=-9
complete the square:
3(x^2-2x+1)-2(y^2+2y+1)=-9+3-2
3(x-1)^2-2(y+1)^2=-8
multiply both sides by -1
-3(x-1)^2+2(y+1)^2=8
rearrange terms:
2(y+1)^2-3(x-1)^2=8

This is an equation of a hyperbola with vertical transverse axis.
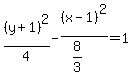
Its standard form: 
For given problem:
center: (1,-1)
a^2=4
a=2
vertices: (1,-1±a)=(1,-1±2)=(1,-3) and (1,1)
b^2=8/3
b=√(8/3)≈√8/√3≈1.633
c^2=a^2+b^2=4+(8/3)=20/3
c=√(20/3)≈2.58
foci: (1,-1±c)=(1,-1±2.58)=(1,-3.58) and (1,1.58)
..
Aymptotes are straight lines that go through the center (1,-1)
Form of equation: y=mx+b, m=slope, b=y-intercept
slopes of asymptotes for hyperbolas with vertical transverse axis: ±a/b=±2/(√8/√3)=±2√3/√8≈±1.223
..
Equation of asymptote with positive slope(1.223):
y=1.223x+b
solve for b using coordinates of center
-1=1.223*1+b
b=-2.223
equation: y=1.223x-2.223
..
Equation of asymptote with negative slope(-1.223):
y=-1.223x+b
solve for b using coordinates of center
-1=-1.223*1+b
b=0.223
equation: y=-1.223x+0.223
|
|
|
| |