Question 820174: PLEASE HELP!!! An ellipse has a center at (-4,6) and passes through (-4,9) and (2,6). Find the equation of the ellipse, the coordinates of the vertices and foci.
Answer by lwsshak3(11628) (Show Source):
You can put this solution on YOUR website! An ellipse has a center at (-4,6) and passes through (-4,9) and (2,6). Find the equation of the ellipse, the coordinates of the vertices and foci.
***
Given coordinates show this is an ellipse with horizontal major axis.
Its standard form: ,a>b, (h,k)=(x,y) coordinates of center.
..

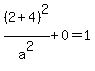
plug in coordinates of one given point (-4,9) on the ellipse.


b^2=9
b=3
..
plug in coordinates of 2nd given point (2,6) on the ellipse.



a^2=36
a=6
..
equation of given ellipse:

..
vertices:(-4±a,6)=(4±6,6)=(-2,6) and (10,6)
c^2=a^2-b^2=36-9=27
c=√27≈5.2
..
foci:(-4±c,6)=(4±5.2,6)=(-1.2,6) and (9.2,6)
|
|
|