SOLUTION: 1. The Foci of a hyperbola are F1(-12,7) and F2(18,7). The difference between the distances from any point, P(x,y), on the hyperbola, to its Foci, is 18. Determine the equation of

Algebra ->  Quadratic-relations-and-conic-sections -> SOLUTION: 1. The Foci of a hyperbola are F1(-12,7) and F2(18,7). The difference between the distances from any point, P(x,y), on the hyperbola, to its Foci, is 18. Determine the equation of       Log On


   



Question 820034: 1. The Foci of a hyperbola are F1(-12,7) and F2(18,7). The difference between the distances from any point, P(x,y), on the hyperbola, to its Foci, is 18. Determine the equation of the hyperbola.
Answer by lwsshak3(11628) About Me  (Show Source):
You can put this solution on YOUR website!
The Foci of a hyperbola are F1(-12,7) and F2(18,7). The difference between the distances from any point, P(x,y), on the hyperbola, to its Foci, is 18. Determine the equation of the hyperbola.
***
Given hyperbola has a horizontal transverse axis. (determined from foci data)
Its standard form of equation: %28x-h%29%5E2%2Fa%5E2-%28y-k%29%5E2%2Fb%5E2=1,(h,k)=(x,y) coordinates of center
center:(3,7)
F1p-F2p=18=2a
a=9a
a^2=81
c=15
c^2=225
c^2=a^2+b^2
b^2=c^2-a^2=225-81=144
b=12
..
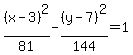
Equation of given hyperbola:
%28x-3%29%5E2%2F81-%28y-7%29%5E2%2F144=1