Question 817915: Name the coordinates of the four vertices, the two foci, and the equations of the major and minor axes for the ellipse 25x^2+4y^2-150x+32y+189=0
Answer by lwsshak3(11628) (Show Source):
You can put this solution on YOUR website! Name the coordinates of the four vertices, the two foci, and the equations of the major and minor axes for the ellipse
25x^2+4y^2-150x+32y+189=0
rearrange terms:
25x^2-150x+4y^2+32y=-189
complete the square:
25(x^2-6x+9)+4(y^2+8y+16)=-189+225+64
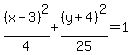
25(x-3)^2+4(y+4)^2=100

This is an equation of an ellipse with vertical major axis
Its standard form of equation:
,a>b, (h,k)=(x,y) coordinates of center
..
For given ellipse:
center: (3,-4)
a^2=25
a=√25=5
vertices:(3,-4±a)=(3,-4±5)=(3,-9) and (3,1)(ends of major axis)
b^2=4
b=2
vertices:(3±b,-4)=(3±2,-4)=(1,-4) and (5,-4)(ends of minor axis)
c^2=a^2-b^2=25-4=21
c=√21≈4.6
foci:(3,-4±c)=(3,-4±4.6)=(3,-8.6) and (3,.6)
|
|
|