SOLUTION: Please help me solve 9x^2+25y^2-36x+50y-164=0 I know I have to solve by completing the square, but my answer does not match up to the one in back of book. When I completed the s

Algebra ->  Quadratic-relations-and-conic-sections -> SOLUTION: Please help me solve 9x^2+25y^2-36x+50y-164=0 I know I have to solve by completing the square, but my answer does not match up to the one in back of book. When I completed the s      Log On


   



Question 816974: Please help me solve 9x^2+25y^2-36x+50y-164=0
I know I have to solve by completing the square, but my answer does not match up to the one in back of book. When I completed the square I got:
9x^2-36x+324+25y^2+50y+625=1113
I don't think I am completing the square correctly???
(36/2)^2, I got 18^2 =324 and (50/2)^2, I got 25^2=625.

Answer by lwsshak3(11628) About Me  (Show Source):
You can put this solution on YOUR website!
9x^2+25y^2-36x+50y-164=0
rearrange terms:
9x^2-36x+25y^2+50y=164
complete the square:
9(x^2-4x+4)+25(y^2+2y+1)=164+36+25
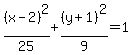
9(x-2)^2+25(y+1)^2=225
%28x-2%29%5E2%2F25%2B%28y%2B1%29%5E2%2F9=1
This is an equation of an ellipse with horizontal major axis.
Its standard form of equation: %28x-h%29%5E2%2Fa%5E2%2B%28y-k%29%5E2%2Fb%5E2=1, (h,k)=(x,y) coordinates of center.
For given ellipse:
center: (2,-1)
a^2=25
b^2=9