SOLUTION: Can you please help me solve this question determine in a hand calculation the parabola with focus (o,o) and directrix x+y+1=0. what is its vertex? plot the parabola indicating ver

Algebra ->  Quadratic-relations-and-conic-sections -> SOLUTION: Can you please help me solve this question determine in a hand calculation the parabola with focus (o,o) and directrix x+y+1=0. what is its vertex? plot the parabola indicating ver      Log On


   



Question 810496: Can you please help me solve this question determine in a hand calculation the parabola with focus (o,o) and directrix x+y+1=0. what is its vertex? plot the parabola indicating vertex, focus and directrix. thank you
Answer by Edwin McCravy(20077) About Me  (Show Source):
You can put this solution on YOUR website!
The green line is the directrix x+y+1 = 0



The vertex V is half-way between the focus and the directrix on
a perpendicular from the focus to the directrix, the blue line
below:



Draw perpendiculars from the end of that blue line and from 
the vertex V to the x-axis:



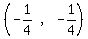
Now with a little bit of geometry knowledge, it's easy to 
see that the vertex is %28matrix%281%2C3%2C-1%2F4%2C%22%2C%22%2C-1%2F4%29%29

Edwin