SOLUTION: Identify the conic section represented by each equation. If it is a parabola, give the vertex. If it is a circle, give the center and radius. If it is an ellipse or a hyberbola, gi
Algebra ->
Quadratic-relations-and-conic-sections
-> SOLUTION: Identify the conic section represented by each equation. If it is a parabola, give the vertex. If it is a circle, give the center and radius. If it is an ellipse or a hyberbola, gi
Log On
Question 79487This question is from textbook Algebra 2
: Identify the conic section represented by each equation. If it is a parabola, give the vertex. If it is a circle, give the center and radius. If it is an ellipse or a hyberbola, give the center and foci. Sketch the graph. This question is from textbook Algebra 2
You can put this solution on YOUR website! Identify the conic section represented by each equation. If it is a parabola, give the vertex. If it is a circle, give the center and radius. If it is an ellipse or a hyberbola, give the center and foci. Sketch the graph.
It is a parabola because it only has ONE squared letter.
Get all the terms in the squared letter on the left and
all other terms on the right:
Factor out the coefficient of on the left:
Complete the square by adding 1 inside the parentheses
on the left. However note that when we placing a 1
inside the parentheses on the left, we are really adding 3
because of the 3 multiplier in front of the parentheses
so we must add 3 to the right side to offset.
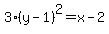
Factor the trinomial on the left side as a perfect square,
and combine terms on the right:
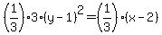
Multiply both sides by
Now the equation is in the form:
where the vertex is (h,k) = (2,1)