| 
 
 
| Question 779326:  Given the endpoints of a diameter of a circle at (4,1) and (-4,-4), find the center and radius of the circle.  Write its equation in  standard form.
 Thanks in advance for your help.
 Answer by MathLover1(20850)
      (Show Source): 
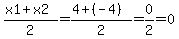
You can put this solution on YOUR website! if the endpoints of a  of a circle at (4,1) and (-4,-4), then the center is midpoint: 
  coordinate of midpoint is   
  coordinate of midpoint is   so, the center is at (
  ,  ) and it means  and   now find the length of radius which is equal to distance between one endpoint and midpoint of diameter
 
 
 | Solved by pluggable solver: Distance Formula |  | 
 The first point is (x1,y1). The second point is (x2,y2)
 
 
 Since the first point is (0, -1.5), we can say (x1, y1) = (0, -1.5)
 So
  ,  
 
 Since the second point is (4, 1), we can also say (x2, y2) = (4, 1)
 So
  ,  
 
 Put this all together to get:
  ,  ,  , and  
 --------------------------------------------------------------------------------------------
 
 
 Now use the distance formula to find the distance between the two points (0, -1.5) and (4, 1)
 
 
 
 
  
 
 
  Plug in  ,  ,  , and  
 
 
  
 
 
  
 
 
  
 
 
  
 ==========================================================
 
 Answer:
 
 
 The distance between the two points (0, -1.5) and (4, 1) is exactly
  units 
 
 The approximate distance between the two points is about 4.7169905660283 units
 
 
 
 So again,
 
 
 Exact Distance:
  units 
 
 Approximate Distance:
  units 
 
 
 |  so, radius is
   equation of a circle in  standard form:
 
   
   
   
 
   
 | 
  
 | 
 |