SOLUTION: write in standard form an ellipse with major axis 6 units long and parallel to the x-axis minor axis 4 units long, and center at (8,6)

Algebra ->  Quadratic-relations-and-conic-sections -> SOLUTION: write in standard form an ellipse with major axis 6 units long and parallel to the x-axis minor axis 4 units long, and center at (8,6)      Log On


   



Question 76855: write in standard form
an ellipse with major axis 6 units long and parallel to the x-axis minor axis 4 units long, and center at (8,6)

Answer by Edwin McCravy(20056) About Me  (Show Source):
You can put this solution on YOUR website!

Learn the two ellipse rules:

1. An ellipse with major axis parallel to the x-axis has equation

%28x-h%29%5E2%2Fa%5E2%2B%28y-k%29%5E2%2Fb%5E2=1 

Where (h,k) is the center, "a" is one-half the major axis and
and "b" is one-half the minor axis.  The foci are the points
(h+c,k) and (h-c,k) where c+=+sqrt%28a%5E2%2Bb%5E2%29.  You can
always tell which is aČ and which is bČ because aČ is ALWAYS
larger than bČ.


2. An ellipse with major axis parallel to the y-axis has equation

%28x-h%29%5E2%2Fb%5E2%2B%28y-k%29%5E2%2Fa%5E2=1 

Where (h,k) is the center, "a" is one-half the major axis and
and "b" is one-half the minor axis.  The foci are the points
(h,k+c) and (h,k-c) where c+=+sqrt%28a%5E2%2Bb%5E2%29.  You can
always tell which is aČ and which is bČ because aČ is ALWAYS
larger than bČ.
 

Your problem is on the first type

an ellipse with major axis 6 units long and parallel to the 
x-axis; minor axis 4 units long; and center at (8,6)

a = 1/2 the major axis = (1/2)(6) = 3
b = 1/2 the minor axis = (1/2)(4) = 2
(h,k) = (8,6)

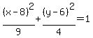
Substitute in

%28x-h%29%5E2%2Fa%5E2%2B%28y-k%29%5E2%2Fb%5E2=1

and get

%28x-8%29%5E2%2F3%5E2%2B%28y-6%29%5E2%2F2%5E2=1

or

%28x-8%29%5E2%2F9%2B%28y-6%29%5E2%2F4=1

The graph is 

 

Edwin