SOLUTION: What is the distance between points P(2, 7) and Q(10, 13)?
Algebra
->
Quadratic-relations-and-conic-sections
-> SOLUTION: What is the distance between points P(2, 7) and Q(10, 13)?
Log On
Algebra: Conic sections - ellipse, parabola, hyperbola
Section
Solvers
Solvers
Lessons
Lessons
Answers archive
Answers
Click here to see ALL problems on Quadratic-relations-and-conic-sections
Question 765685
:
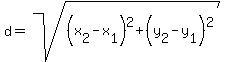
What is the distance between points P(2, 7) and Q(10, 13)?
Answer by
tommyt3rd(5050)
(
Show Source
):
You can
put this solution on YOUR website!
d=10
:)