SOLUTION: How do I write the equation of the hyperbola in standard form? 4x^2-9y^2-8x+54y = 113

Algebra ->  Quadratic-relations-and-conic-sections -> SOLUTION: How do I write the equation of the hyperbola in standard form? 4x^2-9y^2-8x+54y = 113      Log On


   



Question 761271: How do I write the equation of the hyperbola in standard form?
4x^2-9y^2-8x+54y = 113

Answer by lwsshak3(11628) About Me  (Show Source):
You can put this solution on YOUR website!
How do I write the equation of the hyperbola in standard form?
4x^2-9y^2-8x+54y = 113
4x^2-8x-9y^2+54y = 113
complete the square:
4(x^2-2x+1)-9(y^2+6y+9) = 113+4-81
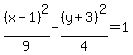
4(x-1)^2-9(y+3)^2=36
%28x-1%29%5E2%2F9-%28y%2B3%29%5E2%2F4=1
This is an equation of a hyperbola with horizontal transverse axis.
Its standard form: %28x-h%29%5E2%2Fa%5E2-%28y-k%29%5E2%2Fb%5E2=1, (h,k)=(x,y) coordinates of the center