SOLUTION: Which is the equation of a circle, in standard form, whose center is (-3/7) and whose radius is 1/2?
Algebra
->
Quadratic-relations-and-conic-sections
-> SOLUTION: Which is the equation of a circle, in standard form, whose center is (-3/7) and whose radius is 1/2?
Log On
Algebra: Conic sections - ellipse, parabola, hyperbola
Section
Solvers
Solvers
Lessons
Lessons
Answers archive
Answers
Click here to see ALL problems on Quadratic-relations-and-conic-sections
Question 760132
:
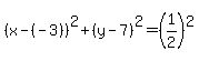
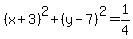
Which is the equation of a circle, in standard form, whose center is (-3/7) and whose radius is 1/2?
Answer by
MathLover1(20850)
(
Show Source
):
You can
put this solution on YOUR website!
where (
,
) is center and
radius
if center is (
) and whose radius is
, then