SOLUTION: find the equation of the ellipse given center @(0,0) and the major axis parallel to x-axis distance between foci 4/3squareroot of 33, passing through (2,1)

Algebra ->  Quadratic-relations-and-conic-sections -> SOLUTION: find the equation of the ellipse given center @(0,0) and the major axis parallel to x-axis distance between foci 4/3squareroot of 33, passing through (2,1)      Log On


   



Question 750027: find the equation of the ellipse given center @(0,0) and the major axis parallel to x-axis distance between foci 4/3squareroot of 33, passing through (2,1)
Answer by josgarithmetic(39625) About Me  (Show Source):
You can put this solution on YOUR website!
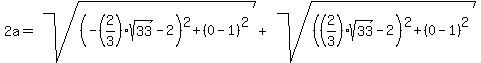
"distance between foci 4/3squareroot of 33"----
That means the foci are (-(2/3)sqrt(33),0) and ((2/3)sqrt(33),0). Use the distance formula to make the expression for the sum of the distances (-(2/3)sqrt(33),0) to (2,1) and ((2/3)sqrt(33),0) to (2,1). That sum will be equal to 2*a, so you will be able to get a value for a.



Next, you find b.
Use the triangle relationship, a%5E2=b%5E2%2Bc%5E2. You already know the value for c,
c=%282%2F3%29sqrt%2833%29, and you already just found a.