Question 742067: Write an equation for each ellipse described below
The foci are a (4,0) and (-4,0). Then end points of the minor axis are at (0,2) and (0,-2).
The center has coordinated (5,-4). The minor axis is parallel to the x-axis with a length of 6. The major axis has a length of 10.
Answer by lwsshak3(11628) (Show Source):
You can put this solution on YOUR website! Write an equation for each ellipse described below
..
The foci are a (4,0) and (-4,0). Then end points of the minor axis are at (0,2) and (0,-2).
This is an ellipse with horizontal major axis. (x-coordinates of foci change, but y-coordinates do not. Its standard form: , a>b, (h,k)=(x,y) coordinates of center
For given ellipse:
x-coordinate of center=0 (midpoint of foci)
y-coordinate of enter=0 (midpoint of minor axis)
center: (0,0)
length of minor axis=4=2b
b=2
b^2=4
c=4 (distance from center to foci)
c^2=16
c^2=a^2-b^2
a^2=c^2+b^2=16+4=20
Equation of given ellipse:

..
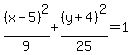
The center has coordinated (5,-4). The minor axis is parallel to the x-axis with a length of 6. The major axis has a length of 10.
***
Given ellipse has a vertical major axis. Its standard form: , a>b, (h,k)=(x,y) coordinates of center.
For given ellipse:
center: (5,-4)
length of major axis=10=2a
a=5
a^2=25
length of minor axis=6=2b
b=3
b^2=9
Equation of given ellipse:

|
|
|