|
Question 740432: I need some help solving a problem. The problem:
Find the standard form of the hyperbola given below. Find also the vertices, foci, and asymptotes, determine the eccentricity.
Answer by lwsshak3(11628) (Show Source):
You can put this solution on YOUR website! Find the standard form of the hyperbola given below. Find also the vertices, foci, and asymptotes, determine the eccentricity.
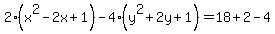
complete the square:

 

This is an equation of a hyperbola with horizontal transverse axis.
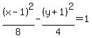
Its standard form: , (h,k)=(x,y) coordinates of center
For given hyperbola:
center: (1,-1)
a^2=8
a=√8≈2.8
vertices: (1±a,1)=(1±2.8,1)=(1.8,1) and (3.8,1)
b^2=4
b=2
c^2=a^2+b^2=8+4=12
c=√12≈3.5
vertices: (1±c,-1)=(1±3.5,-1)=(2.5,-1) and (4.5,-1)
eccentricity=c/a=√12/√8=√(3/2)≈1.2
asymptotes: (equations of lines that go thru center of the form: y=mx+b, m=slope, b=y-intercept)
slopes of asymptotes for hyperbolas with horizontal transverse axis=±b/a=±2/√8
..
equation of asymptote with positive slope:
y=2x/√8+b
solve for b using coordinates of center:
-1=2*1/√8+b
b=-1-2/√8≈1.707
equation:
y=2x/√8-1.707
..
equation of asymptote with negative slope:
y=-2x/√8+b
solve for b using coordinates of center:
-1=-2*1/√8+b
b=-1+2/√8≈-0.293
equation:
y=-2x/√8-0.293
..
see graph below as a visual check:
y=((x-1)^2/2-4)^.5-1
|
|
|
| |