|
Question 732626: If the equation for a hyperbola is not in the standard form already, how do you change it so you can graph it? I have this equation: 6(x-3)^2-4(y+1)^2=96. Is it necessary to put it in the standard hyperbola form? If so, how would you do this?
Answer by lwsshak3(11628) (Show Source):
You can put this solution on YOUR website! If the equation for a hyperbola is not in the standard form already, how do you change it so you can graph it? I have this equation: 6(x-3)^2-4(y+1)^2=96. Is it necessary to put it in the standard hyperbola form? If so, how would you do this?
***
Standard forms of hyperbola:
For hyperbola with horizontal transverse axis: (x-h)^2/a^2-(y-k)^2/b^2=1, (h,k)=(x,y) coordinates of center
For hyperbola with vertical transverse axis: , (h,k)=(x,y) coordinates of center
..
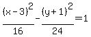
For given equation of hyperbola:

change to standard form:
divide both sides by 96

center: (3,-1)
a^2=16
a=4
length of horizontal transverse axis=2a=8
..
b^2=24
b=√24
length of conjugate axis=2b=2√24=2√6
..
slopes of the asymptotes=±b/a=2±√6/4=±√6/2
Equation of asymptote with negative slope:
y=mx+b=-√6x/2+b
solve for b using coordinates of center which are on the asymptote line.
-1=-√6*3/2+b
b=-1+3.6742=2.6742
Equation:y=-√6x/2+2.6742
..
Equation of asymptote with positive slope:
y=mx+b=√6x/2+b
solve for b using coordinates of center which are on the asymptote line.
-1=√6*3/2+b
b=-1-3.6742=-4.6742
Equation:y=√6x/2-4.6742
..
To graph the hyperbola manually, it is best to draw a rectangle around the center:
draw a horizontal line thru the center (3,-1) with end points 4 units from center. (horizontal transverse axis)
draw a vertical line thru the center (3,-1) with end points√24/2 units from center.(conjugate axis)
draw lines thru the end points to form a rectangle
Asymptotes go thru the corners of this rectangle and the center.
You now should be able to graph the hyperbola knowing the coordinates of the center, asymptotes, and the fact that hyperbola has a horizontal transverse axis
|
|
|
| |