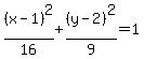
SOLUTION: What is the equation of the ellipse in standard form? 9x^2+16y^2-18x-64y-71=0
Algebra
->
Quadratic-relations-and-conic-sections
-> SOLUTION: What is the equation of the ellipse in standard form? 9x^2+16y^2-18x-64y-71=0
Log On
Algebra: Conic sections - ellipse, parabola, hyperbola
Section
Solvers
Solvers
Lessons
Lessons
Answers archive
Answers
Click here to see ALL problems on Quadratic-relations-and-conic-sections
Question 730986
:
What is the equation of the ellipse in standard form?
9x^2+16y^2-18x-64y-71=0
Answer by
lwsshak3(11628)
(
Show Source
):
You can
put this solution on YOUR website!
What is the equation of the ellipse in standard form?
9x^2+16y^2-18x-64y-71=0
***
9x^2-18x+16y^2-64y=71
complete the square:
9(x^2-2x+1)+16(y^2-4y+4)=71+9+64
9(x-1)^2+16(y-2)^2=144