Question 722537: Write an equation of an ellipse with the given characteristics:
center: (-1,5)
vertex: (3,5)
co-vertex: (-1,7)
Answer by lwsshak3(11628) (Show Source):
You can put this solution on YOUR website! Write an equation of an ellipse with the given characteristics:
center: (-1,5)
vertex: (3,5)
co-vertex: (-1,7)
***
This is an ellipse with a horizontal major axis.(x-coordinates of center and vertex change, but y-coordinates do not)
Its standard form of equation: , a>b, (h,k)=(x,y) coordinates of center.
For given ellipse:
center: (-1,5)
a=4 (center to vertex, (-1 to 3))
a^2=16
b=2 (5 to 7)
b^2=4
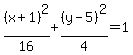
Equation: 
|
|
|