Question 715112: use the eccentricity of each hyperbola to find its equation in standard form eccentricity 4 , vertices (-1,3) and (-1,7) Answer by lwsshak3(11628) (Show Source):
You can put this solution on YOUR website! use the eccentricity of each hyperbola to find its equation in standard form eccentricity 4 , vertices (-1,3) and (-1,7)
**
Standard form of equation for a hyperbola with vertical transverse axis: , (h,k)=(x,y) coordinates of center
..
x-coordinate of center=-1
y-coordinate of center= (3+7)/2=5 (midpoint formula)
center:(-1,5)
..
length of vertical transverse axis=4 (3 to 7)=2a
a=2
a^2=4
..
c=distance from center to foci
Eccentricity=4=c/a
c=4a
..
c^2=a^2+b^2
16a^2=a^2+b^2
b^2=16a^2-a^2=15a^2
..
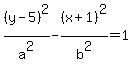
equation of given hyperbola: