SOLUTION: Please put in standard form. (ellipse) 18x^2+9y^2=153-24x+6y

Algebra ->  Quadratic-relations-and-conic-sections -> SOLUTION: Please put in standard form. (ellipse) 18x^2+9y^2=153-24x+6y      Log On


   



Question 711592: Please put in standard form. (ellipse)
18x^2+9y^2=153-24x+6y

Answer by lwsshak3(11628) About Me  (Show Source):
You can put this solution on YOUR website!
Please put in standard form. (ellipse)
18x^2+9y^2=153-24x+6y
rearrange terms:
18x^2+24x+9y^2-6y=153
complete the square:
18(x^2+24x/18+9(y^2-6y/9=153
18(x^2+4x/3+9(y^2-2y/3=153
18(x^2+4x/3+16/36)+9(y^2-2y/3+4/36)=153+8+1
18(x+4/9)^2+9(y-1/9)^2=162
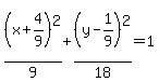
%28x%2B4%2F9%29%5E2%2F9%2B%28y-1%2F9%29%5E2%2F18=1
This is an equation of an ellipse with vertical major axis and center at (-4/9,1/9)
Its standard form: %28x-h%29%5E2%2Fb%5E2%2B%28y-k%29%5E2%2Fa%5E2=1, a>b, (h,k)=(x,y) coordinates of center