|
Question 711281: write an equation of the conic section
parabola with vertex at (2,6) and directrix at y=8
use the discriminant to classify the conic section
9y^2-x^2+2x+54y+62=0
classify the conic section and write its equation in standard form. then graph the equation
x^2+y^2+10x-12y+40=0
Answer by lwsshak3(11628) (Show Source):
You can put this solution on YOUR website! write an equation of the conic section.
..
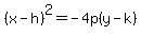
parabola with vertex at (2,6) and directrix at y=8
This is an equation of a parabola that opens downwards.
lts standard form: , (h,k)=(x,y) coordinates of the vertex (2,6)
axis of symmetry: x=2
p=2, (distance between vertex and directrix on the axis of symmetry)
4p=8
Equation: 
..
use the discriminant to classify the conic section
9y^2-x^2+2x+54y+62=0
9y^2+54y-x^2+2x=-62
complete the square:
9(y^2+6y+9)-(x^2-2x+1)=-62+81-1
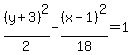
9(y+3)^2-(x-1)^2=18
Equation: 
This is an equation of a hyperbola with vertical transverse axis and center at (1,-3)
Its standard form: , (h,k)=(x,y) coordinates of center
..
classify the conic section and write its equation in standard form. then graph the equation
x^2+y^2+10x-12y+40=0
x^2+10x+y^2-12y=-40
complete the square:
(x^2+10x+25)+(y^2-12y+36)=-40+25+36

This is an equation of a circle with center at (-5,6) and radius=√21
Its standard form: , (h,k)=(x,y) coordinates of center, r=radius
see graph below:
y=±(21-(x+5)^2)^.5+6

|
|
|
| |