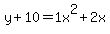
Start with the given equation
Add to both sides
Factor out the leading coefficient 
Take half of the x coefficient to get (ie ).
Now square to get (ie )
Now add and subtract this value inside the parenthesis. Doing both the addition and subtraction of does not change the equation
Now factor to get 
Distribute
Multiply
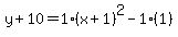
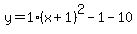
Now add to both sides to isolate y
Combine like terms
Now the quadratic is in vertex form where , , and . Remember (h,k) is the vertex and "a" is the stretch/compression factor.
Check:
Notice if we graph the original equation we get:
Graph of . Notice how the vertex is ( , ).
Notice if we graph the final equation we get:
Graph of . Notice how the vertex is also ( , ).
So if these two equations were graphed on the same coordinate plane, one would overlap another perfectly. So this visually verifies our answer.
|