SOLUTION: is this conic a circle, ellipse, hyperbola, or parabola? x^2+4y^2-6x+20y-2=0

Algebra ->  Quadratic-relations-and-conic-sections -> SOLUTION: is this conic a circle, ellipse, hyperbola, or parabola? x^2+4y^2-6x+20y-2=0      Log On


   



Question 694971: is this conic a circle, ellipse, hyperbola, or parabola?
x^2+4y^2-6x+20y-2=0

Answer by KMST(5328) About Me  (Show Source):
You can put this solution on YOUR website!
Ellipse.
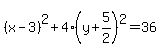
x%5E2%2B4y%5E2-6x%2B20y-2=0 --> x%5E2-6x%2B4y%5E2%2B20y=2 --> x%5E2-6x%2B9%2B4y%5E2%2B20y%2B25=2%2B9%2B25 --> %28x%5E2-6x%2B9%29%2B4%28y%5E2%2B5y%2B25%2F4%29=36 --> %28x-3%29%5E2%2B4%28y%2B5%2F2%29%5E2=36 --> %28x-3%29%5E2%2F36%2B%28y%2B5%2F2%29%5E2%2F9=1
It is centered at (3,-5/2), with a semi-major axis of length 6, parallel to the x-axis, and a semi-minor axis of length 3, parallel to the y axis.